MatemáticaMédio
Questão 180 — ENEM 2023 PPLCaderno azul · 2º Dia
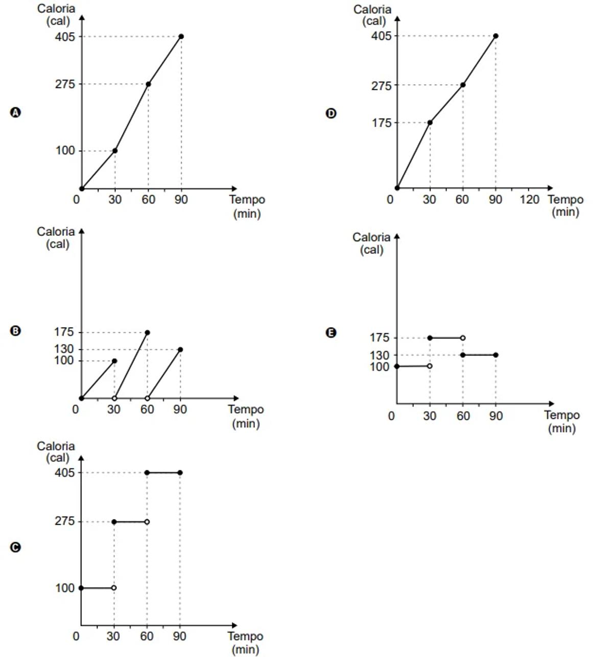
Veja o gasto médio de calorias, por hora de atividade, quando são exercidas algumas atividades domésticas:
varrer o chão: 200 calorias;
passar aspirador de pó: 350 calorias;
limpar janelas: 260 calorias.
Disponível em: www.corpoacorpo.uol.com.br. Acesso em: 4 dez. 2017 (adaptado).
Uma pessoa varreu o chão da casa, depois passou o aspirador de pó e, por fim, limpou as janelas, gastando 30 minutos em cada atividade, sem parar para descansar. Considere que o gasto de calorias em uma atividade varie proporcionalmente em relação ao tempo.
O gráfico que melhor representa o gasto acumulado de calorias dessa pessoa durante as atividades desenvolvidas é:

Alternativas
Resolução
Resolução em breve.