NaturezaMédio
Questão 97 — ENEM 2021 PPLCaderno azul · 2º Dia
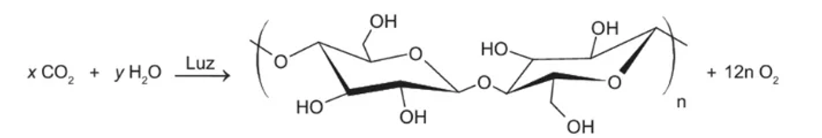
As plantas realizam fotossíntese pela captura do gás carbônico atmosférico e, juntamente com a água e a luz solar, produzem os carboidratos. No esquema está apresentada a equação desse processo, em que as letras x e y representam os coeficientes estequiométricos da reação.

Quais são os valores dos coeficientes x e y da equação balanceada de produção do carboidrato e oxigênio?
Alternativas
Resolução
Resolução em breve.