NaturezaMédio
Questão 123 — ENEM 2021 PPLCaderno azul · 2º Dia
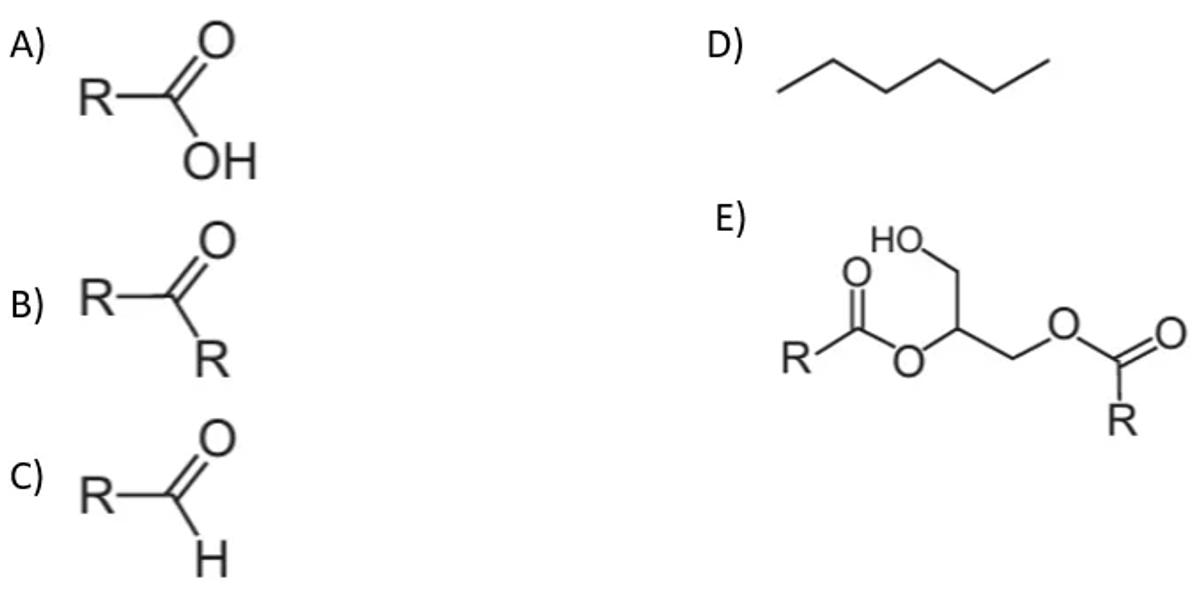
O biodiesel é um combustível alternativo ao diesel de petróleo que tem sido produzido em grande escala no Brasil a partir da transesterificação do óleo de soja em meio alcalino. Visando reduzir a competição com a indústria alimentícia, os óleos de fritura estão entre as matérias-primas alternativas que têm sido consideradas. Porém, o seu uso no processo tradicional é dificultado por causa da acidez de Brönsted, desenvolvida durante o processo de degradação do óleo, conforme mostra o esquema genérico em que R representa um grupamento alquila qualquer.

A dificuldade mencionada é gerada pela presença de grupamentos:

Alternativas
Resolução
Resolução em breve.