NaturezaMédio
Questão 94 — ENEM 2020Caderno azul · 2º Dia
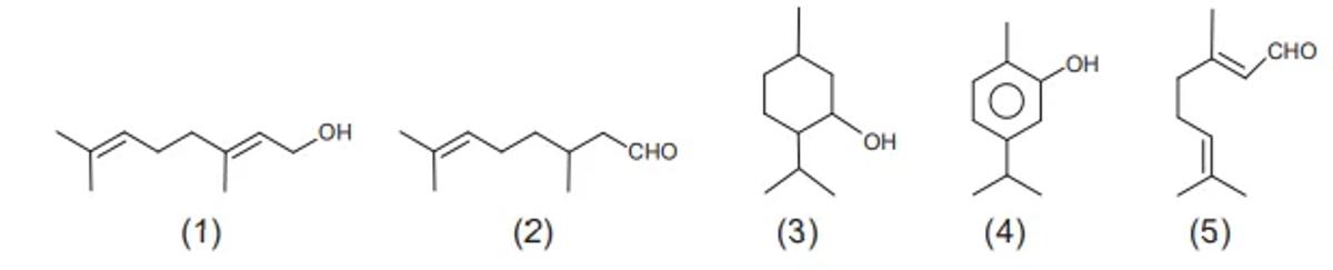
Um microempresário do ramo de cosméticos utiliza óleos essenciais e quer produzir um creme com fragrância
de rosas. O principal componente do óleo de rosas tem cadeia poli-insaturada e hidroxila em carbono terminal. O catálogo dos óleos essenciais apresenta, para escolha da essência, estas estruturas químicas:

Qual substância o empresário deverá utilizar?
Alternativas
Resolução
Resolução em breve.