MatemáticaMédio
Questão 149 — ENEM 2020Caderno azul · 2º Dia
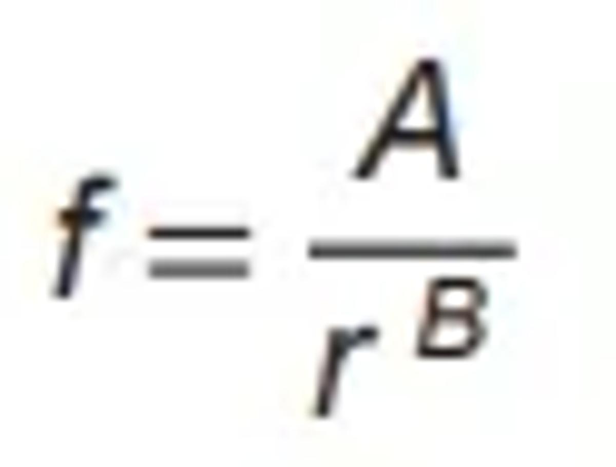
A Lei de Zipf, batizada com o nome do linguista americano George Zipf, é uma lei empírica que relaciona a frequência (f) de uma palavra em um dado texto com o seu ranking (r). Ela é dada por f = A/rB

O ranking da palavra é a sua posição ao ordenar as palavras por ordem de frequência. Ou seja, r = 1 para a palavra mais frequente, r = 2 para a segunda palavra mais frequente e assim sucessivamente. A e B são constantes positivas.
Disponível em: http://klein.sbm.org.br. Acesso em: 12 ago. 2020 (adaptado).
Com base nos valores de X = log (r) e Y = log (f), é possível estimar valores para A e B.
No caso hipotético em que a lei é verificada exatamente, a relação entre Y e X é:

Alternativas
Resolução
Resolução em breve.