NaturezaMédio
Questão 103 — ENEM 2020 PPLCaderno azul · 2º Dia
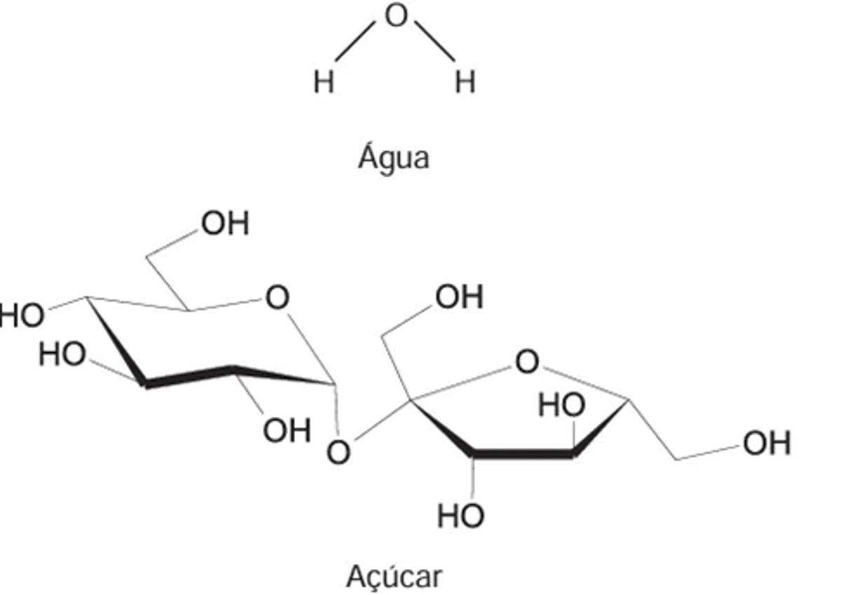
Um princípio importante na dissolução de solutos é que semelhante dissolve semelhante. Isso explica, por exemplo, o açúcar se dissolver em grandes quantidades na água, ao passo que o óleo não se dissolve.

A dissolução na água, do soluto apresentado, ocorre predominantemente por meio da formação de
Alternativas
Resolução
Resolução em breve.