NaturezaMédio
Questão 98 — ENEM 2019 PPLCaderno azul · 2º Dia
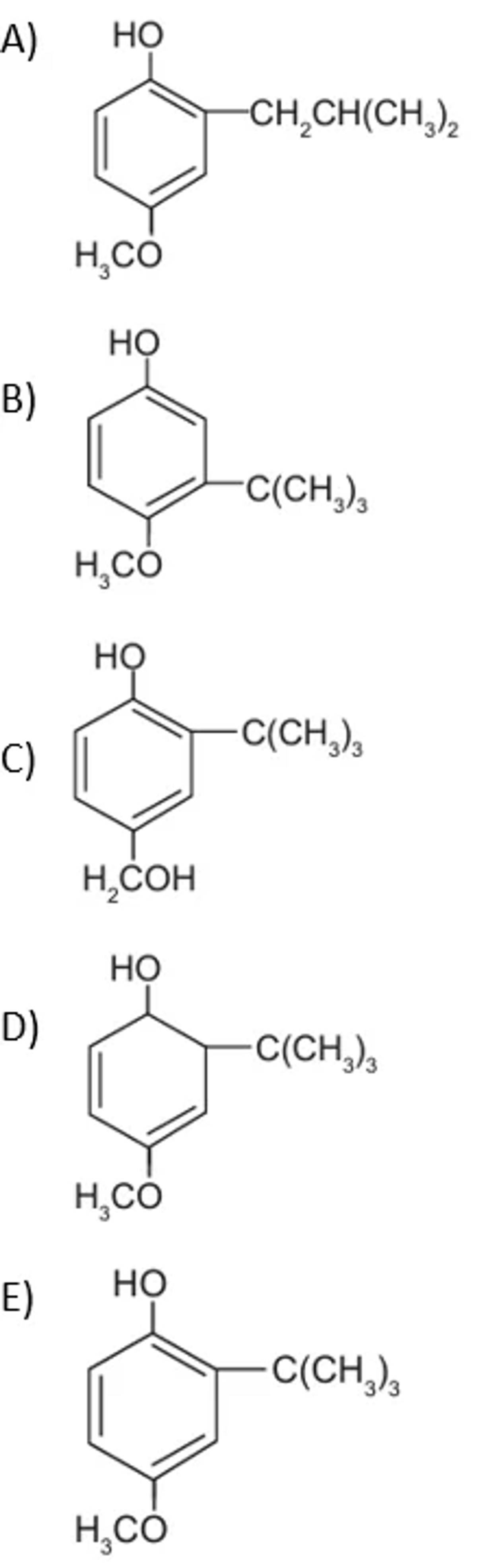
O 2-BHA é um fenol usado como antioxidante para retardar a rancificação em alimentos e cosméticos que contêm ácidos graxos insaturados. Esse composto caracteriza-se por apresentar uma cadeia carbônica aromática mononuclear, apresentando o grupo substituinte terc-butil na posição orto e o grupo metóxi na posição para.
A fórmula estrutural do fenol descrito é

Alternativas
Resolução
Resolução em breve.