Questão 109 — ENEM 2018Caderno azul · 2º Dia
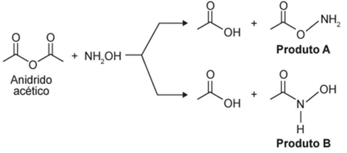
A hidroxilamina (NH2OH) é extremamente reativa em reações de substituição nucleofílica, justificando sua utilização em diversos processos. A reação de substituição nucleofílica entre o anidrido acético e a hidroxilamina está representada.

<img fetchpriority="high" decoding="async" alt="" class="wp-image-15437" height="228" src="https://plataformaassaad.com.br/wp-content/webp-express/webp-images/uploads/2025/02/image-89.png.webp" style="width:364px;height:auto" width="518" srcset="https://plataformaassaad.com.br/wp-content/webp-express/webp-images/uploads/2025/02/image-89.png.webp 518w, https://plataformaassaad.com.br/wp-content/webp-express/webp-images/uploads/2025/02/image-89-300x132.png.webp 300w" sizes="(max-width: 518px) 100vw, 518px" />
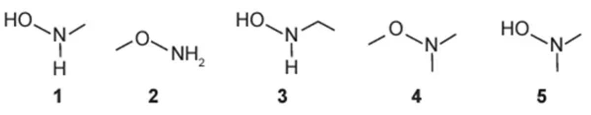
O produto A é favorecido em relação ao B, por um fator de 105. Em um estudo de possível substituição do uso de hidroxilamina, foram testadas as moléculas numeradas de 1 a 5.

<img decoding="async" alt="" class="wp-image-15438" height="117" src="https://plataformaassaad.com.br/wp-content/webp-express/webp-images/uploads/2025/02/image-90.png.webp" style="width:395px;height:auto" width="600" srcset="https://plataformaassaad.com.br/wp-content/webp-express/webp-images/uploads/2025/02/image-90.png.webp 600w, https://plataformaassaad.com.br/wp-content/webp-express/webp-images/uploads/2025/02/image-90-300x59.png.webp 300w" sizes="(max-width: 600px) 100vw, 600px" />
Dentre as moléculas testadas, qual delas apresentou menor reatividade?
Alternativas
Resolução
Resolução em breve.