NaturezaMédio
Questão 106 — ENEM 2018 PPLCaderno azul · 2º Dia
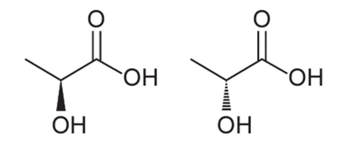
Várias características e propriedades de moléculas orgânicas podem ser inferidas analisando sua fórmula estrutural. Na natureza, alguns compostos apresentam a mesma fórmula molecular e diferentes fórmulas estruturais. São os chamados isômeros, como ilustrado nas estruturas.

Entre as moléculas apresentadas, observa-se a ocorrência de isomeria
Alternativas
Resolução
Resolução em breve.