Questão 152 — ENEM 2016Caderno azul · 2º Dia
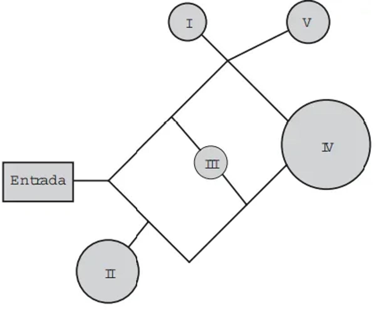
Um adolescente vai a um parque de diversões tendo, prioritariamente, o desejo de ir a um brinquedo que se encontra na área IV, dentre as áreas I, II, III, IV e V existentes. O esquema ilustra o mapa do parque, com a localização da entrada, das cinco áreas com os brinquedos disponíveis e dos possíveis caminhos para se chegar a cada área. O adolescente não tem conhecimento do mapa do parque e decide ir caminhando da entrada até chegar à área IV.

Suponha que relativamente a cada ramificação, as opções existentes de percurso pelos caminhos apresentem iguais probabilidades de escolha, que a caminhada foi feita escolhendo ao acaso os caminhos existentes e que, ao tomar um caminho que chegue a uma área distinta da IV, o adolescente necessariamente passa por ela ou retorna.
Nessas condições, a probabilidade de ele chegar à área IV sem passar por outras áreas e sem retornar é igual a
Alternativas
Resolução
Resolução em breve.