MatemáticaMédio
Questão 176 — ENEM 2015Caderno azul · 2º Dia
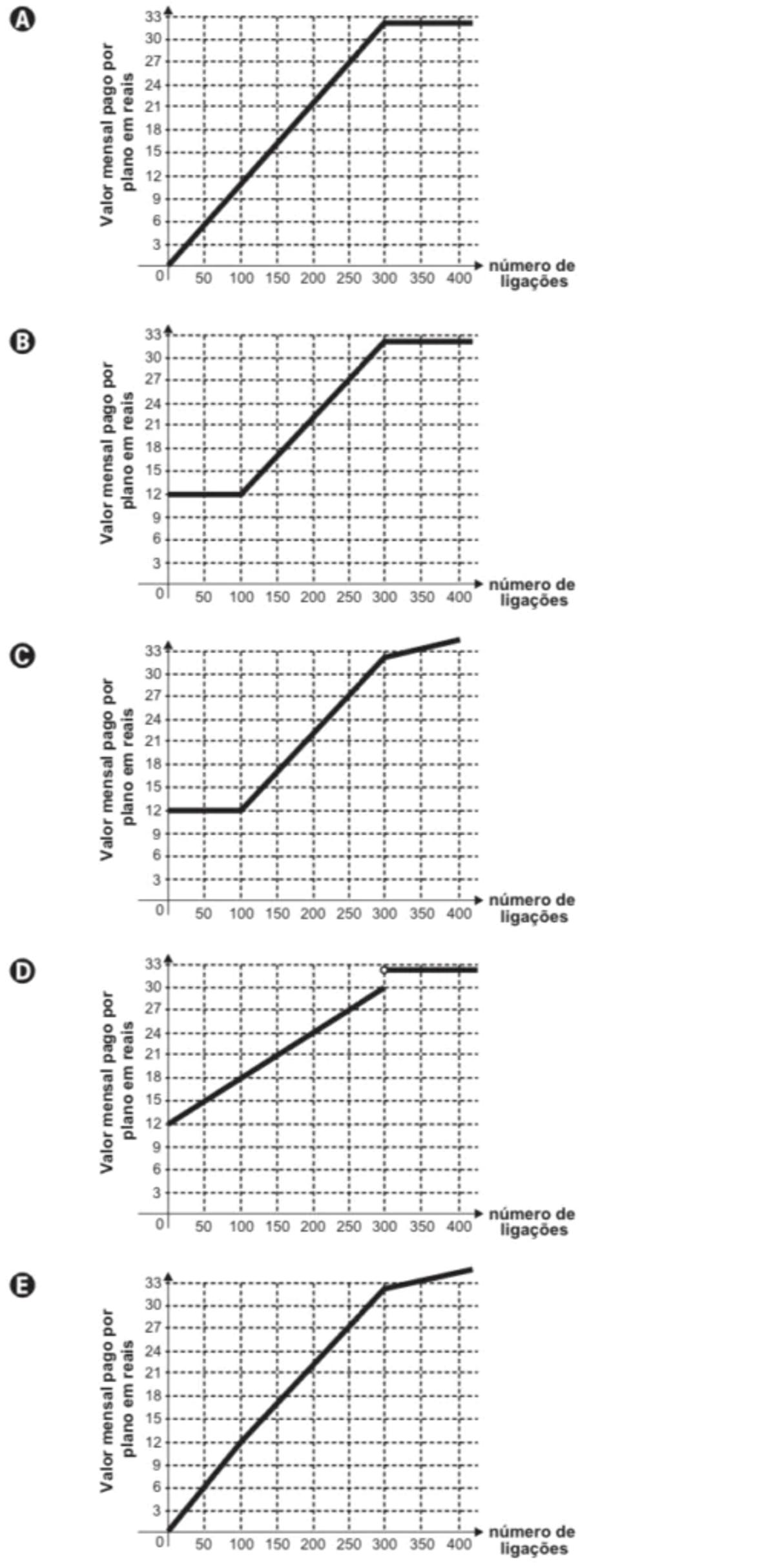
Após realizar uma pesquisa de mercado, uma operadora de telefonia celular ofereceu aos clientes que utilizavam até 500 ligações ao mês o seguinte plano mensal: um valor fixo de R$12,00 para os clientes que fazem até 100 ligações ao mês. Caso o cliente faça mais de 100 ligações, será cobrado um valor adicional de R$ 0,10 por ligação, a partir da 101ª até a 300ª; e caso realize entre 300 e 500 ligações, será cobrado um valor fixo mensal de R$32,00.
Com base nos elementos apresentados, o gráfico que melhor representa a relação entre o valor mensal pago nesse plano e o número de ligações feitas é:

Alternativas
Resolução
Resolução em breve.