NaturezaMédio
Questão 90 — ENEM 2015Caderno azul · 1º Dia
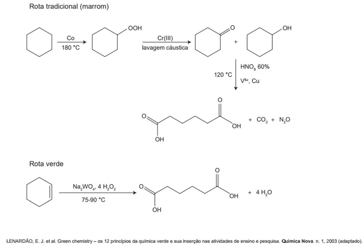
A química verde permite o desenvolvimento tecnológico com danos reduzidos ao meio ambiente, e encontrar rotas limpas tem sido um grande desafio. Considere duas rotas diferentes utilizadas para a obtenção de ácido adípico, um insumo muito importante para a indústria têxtil e de lubrificantes

Que fator contribui positivamente para que a segunda rota de síntese seja verde em comparação com a primeira?
Alternativas
Resolução
Resolução em breve.